Note
Go to the end to download the full example code.
Post-Solver Combined hp-refinement with Direct Poisson#
This solver showcases refinement process using post-solver refinement. The idea here is to use both h-refinement and p-refinement, which allows for much more efficient convergence for locally sharp solutions.
import numpy as np
import numpy.typing as npt
import pyvista as pv
import rmsh
from matplotlib import pyplot as plt
from matplotlib.collections import PolyCollection
from mfv2d import (
BoundaryCondition2DSteady,
ErrorEstimateExplicit,
KFormSystem,
KFormUnknown,
Mesh,
RefinementLimitElementCount, # Need a refinement limit
RefinementSettings, # Need refinement settings
SystemSettings,
UnknownFormOrder,
mesh_create,
solve_system_2d,
system_as_string,
)
Problem Description#
The model problem that is to be solved here is the direct Poisson equation on a deformed square domain, with the solution given by equation (2), where the function \(s\) is specified by equation (1).
R = 40.0
def s(t: npt.NDArray[np.float64], r: float, t0: float) -> npt.NDArray[np.floating]:
"""Compute source term."""
return np.exp(-r * (t - t0) ** 2)
def dsdt(t: npt.NDArray[np.float64], r: float, t0: float) -> npt.NDArray[np.floating]:
"""Compute derivative source term."""
return -2 * r * (t - t0) * np.exp(-r * (t - t0) ** 2)
def d2sdt2(t: npt.NDArray[np.float64], r: float, t0: float) -> npt.NDArray[np.floating]:
"""Compute second derivative source term."""
return 2 * r * (2 * r * (t - t0) ** 2 - 1) * np.exp(-r * (t - t0) ** 2)
def u_exact(x: npt.NDArray[np.float64], y: npt.NDArray[np.float64]):
"""Exact solution."""
return s(x, R, 0.75) * s(y, R, 0.75)
def q_exact(x: npt.NDArray[np.float64], y: npt.NDArray[np.float64]):
"""Exact curl of solution."""
return np.stack(
(
s(x, R, 0.75) * dsdt(y, R, 0.75),
-dsdt(x, R, 0.75) * s(y, R, 0.75),
),
axis=-1,
)
def source_exact(x: npt.NDArray[np.float64], y: npt.NDArray[np.float64]):
"""Exact heat flux divergence."""
return s(x, R, 0.75) * d2sdt2(y, R, 0.75) + d2sdt2(x, R, 0.75) * s(y, R, 0.75)
System Setup#
System setup for this is exactly the same as it was for other examples, with the system and weak boundary conditions specified.
u = KFormUnknown("u", UnknownFormOrder.FORM_ORDER_0)
v = u.weight
system = KFormSystem(
v.derivative @ u.derivative == -(v @ source_exact) + (v ^ q_exact),
)
print(system_as_string(system))
[(E(1, 0))^T M(1) E(1, 0)] [u(0)] = [- 1 * E<u, source_exact> + B<u, q_exact>] + [0] [u(0)]
Making the Mesh#
The mesh is a deformed square, as mentioned before. Its corners match the unit square, but the sides are curved. There are five elements in every direction.
Initial mesh can be seen bellow.
N = 6
n1 = N
n2 = N
m, rx, ry = rmsh.create_elliptical_mesh(
rmsh.MeshBlock(
None,
rmsh.BoundaryCurve.from_knots(
n1, (-1, -1), (-0.5, -1.1), (+0.5, -0.6), (+1, -1)
), # bottom
rmsh.BoundaryCurve.from_knots(
n2, (+1, -1), (+1.5, -0.7), (+1, 0.0), (+1, +1)
), # right
rmsh.BoundaryCurve.from_knots(
n1, (+1, +1), (0.5, 0.5), (-0.5, 0.5), (-1, +1)
), # top
rmsh.BoundaryCurve.from_knots(
n2, (-1, +1), (-0.5, 0.33), (-1, -0.5), (-1, -1)
), # left
)
)
assert rx < 1e-6 and ry < 1e-6
fig, ax = plt.subplots()
m.plot(ax)
ax.autoscale()
ax.set(xlabel="$x$", ylabel="$y$")
fig.tight_layout()
plt.show()

Initialize the Mesh#
With geometry created, it is converted into suitable form to use with mfv2d.
Also a convinience function plot_mesh_comparisons is defined here, to allow for
simple comparison of meshes.
PSTART = 1 # Test polynomial order
mesh_initial = mesh_create(
PSTART, np.stack((m.pos_x, m.pos_y), axis=-1), m.lines + 1, m.surfaces
)
def plot_mesh_comparisons(*meshes: tuple[str, Mesh]) -> None:
"""Plot one or more meshes with given titles."""
fig, axes = plt.subplots(1, len(meshes), figsize=(6 * len(meshes), 5))
for ax, (title, mesh) in zip(axes, meshes, strict=True):
vertices = [mesh.get_leaf_corners(idx) for idx in mesh.get_leaf_indices()]
ax.add_collection(PolyCollection(vertices, facecolors="none", antialiased=True))
for idx, quad in zip(mesh.get_leaf_indices(), vertices):
ax.text(
*np.mean(quad, axis=0),
str(mesh.get_leaf_orders(idx)),
ha="center",
va="center",
color="red",
fontsize=6,
)
ax.autoscale()
ax.set(aspect="equal", title=title)
fig.tight_layout()
plt.show()
Refinement Settings#
Post-solver refinement is controlled with the RefinementSettings type.
The main setting is it is the error_calculation_function, which should be
set to a function which computes two values:
Error in some norm or semi-norm,
Cost of h-refinement in that norm,
If the ratio of the cost of h-refinement and error is bellow the value specified
as the h_refinement_ratio, then the element will be h-refined. Otherwise it
will be a candidate for p-refinement.
For this example, the error measure is exact \(L^2\) norm (since the
manufactured solution is known), and measure of h-refinement cost is given as just
an arbitrary constant, since h_refinement_ratio = 0, meaning it will never happen.
To specify when the refinement should stop, refinement_limit should be given.
In this case, RefinementLimitElementCount is used to specify that at
either 10 elements or 100 % of the elements, whichever is lower, can be refined
each iteration.
N_ROUNDS = 10
system_settings = SystemSettings(
system=system,
boundary_conditions=[
BoundaryCondition2DSteady(u, mesh_initial.boundary_indices, u_exact)
],
)
Evaluating a Refinement Strategy#
To evaluate a refinement strategy, the problem will be solved N_ROUNDS
times, with post-solve refinement being run after each of these. At each
square of the error in the \(L^2\) norm is computed, to be able to
compare with all other strategies.
The difference between these strategies is how they decide between h-refinement and p-refinemenet, as well as how many elements they modify each round.
RUN_COUNT = 0
def run_refinement_strategy(h_ratio: float, max_elements: int, mesh: Mesh):
"""Compute errors and resulting mesh for a refinement strategy."""
global RUN_COUNT
errors_local: list[tuple[int, float]] = list()
new_mesh = mesh
plotter = pv.Plotter(off_screen=True, window_size=(1600, 900), shape=(1, 2))
plotter.open_gif(f"direct-poisson-post-hp-{RUN_COUNT:d}.gif", fps=1)
RUN_COUNT += 1
for i_round in range(N_ROUNDS):
mesh = new_mesh
refinement_settings = RefinementSettings(
# Specifying how the error is estimated
error_estimate=ErrorEstimateExplicit(
# Required by the error function
target_form=u,
# The error (estimation) function
solution_estimate=u_exact,
),
# H-refinement when ratio of h-cost and error less than this
h_refinement_ratio=h_ratio,
# When to stop refining
refinement_limit=RefinementLimitElementCount(1.0, max_elements),
# Print error distribution to terminal
report_error_distribution=True,
# Print element order distribution to terminal
report_order_distribution=True,
)
solutions, statistics, new_mesh = solve_system_2d(
mesh,
system_settings=system_settings,
refinement_settings=refinement_settings,
recon_order=15,
)
solution = solutions[-1]
u_computed = solution.point_data[u.label]
u_real = u_exact(solution.points[:, 0], solution.points[:, 1])
l2_err2 = (u_real - u_computed) ** 2
solution.point_data["l2_error2"] = l2_err2
errors_local.append(
(
statistics.n_total_dofs,
np.sqrt(solution.integrate_data().point_data["l2_error2"][0]),
)
)
# Plotting code here
plotter.subplot(0, 0)
plotter.add_mesh(
solution,
scalars="l2_error2",
log_scale=True,
label="$L^2$ error",
clim=(1e-20, 1e-4),
name="solution",
)
plotter.add_mesh(
solution.extract_all_edges(), scalars=None, color="black", name="boundaries"
)
plotter.view_xy()
plotter.subplot(0, 1)
sol = solution.copy()
sol.cell_data["geometrical order"] = np.linalg.norm(
[mesh.get_leaf_orders(ie) for ie in mesh.get_leaf_indices()], axis=-1
) / np.sqrt(2)
plotter.add_mesh(sol, scalars="geometrical order", name="orders", clim=(1, 12))
plotter.add_text(f"Round {i_round + 1:d}", name="title")
plotter.view_xy()
plotter.write_frame()
plotter.close()
return errors_local, mesh
Baseline Data#
To show benefits of local hp-refinement, first consider uniform p-refinement. This is the baseline, which is very effective for very smooth solutions.
errors_uniform: list[tuple[int, float]] = list()
uniform_mesh = mesh_initial.copy()
for pval in range(PSTART, 9):
solutions, statistics, _ = solve_system_2d(
uniform_mesh,
system_settings=system_settings,
refinement_settings=None,
recon_order=15,
)
solution = solutions[-1]
u_computed = solution.point_data[u.label]
u_real = u_exact(solution.points[:, 0], solution.points[:, 1])
l2_err2 = (u_real - u_computed) ** 2
solution.point_data["l2_error2"] = l2_err2
errors_uniform.append(
(
statistics.n_total_dofs,
np.sqrt(solution.integrate_data().point_data["l2_error2"][0]),
)
)
uniform_mesh.uniform_p_change(1, 1) # Up the mesh orders
Running hp-Refinement#
Now different hp-adaptive strategies can be run.
Baseline#
As baseline for the hp-runs, the values of 0.1 and 10 were taken as h-refinement ratio and element limit count.
BASE_H_RATIO = 0.1
BASE_ELEMENT_LIMIT = 10
errors_local_1, local_mesh_1 = run_refinement_strategy(
BASE_H_RATIO, BASE_ELEMENT_LIMIT, mesh_initial
)
def err_name(h: float, n: int) -> str:
"""Format name for error plots."""
return f"(h={h:g}, n={n:d})"
errors_local_name_1 = err_name(BASE_H_RATIO, BASE_ELEMENT_LIMIT)

Initial mesh order distribution
============================================================
█
█
█
█
████████████████████████████████████████████████████████████
| | | | |
0.5 0.7 1.0 1.2 1.5
============================================================
Error estimate distribution
============================================================
█
█ █ █
█ █ █
█ █ █ ██ ██ █ █ ███ █ ██ ████ ██
████████████████████████████████████████████████████████████
| | | | |
10^(-7.2) 10^(-6.3) 10^(-5.4) 10^(-4.5) 10^(-3.6)
============================================================
Refined mesh order distribution
============================================================
█
█ █
█ █
█ █
████████████████████████████████████████████████████████████
| | | | |
1.0 1.2 1.5 1.7 2.0
============================================================
Initial mesh order distribution
============================================================
█
█ █
█ █
█ █
████████████████████████████████████████████████████████████
| | | | |
1.0 1.2 1.5 1.7 2.0
============================================================
Error estimate distribution
============================================================
█
█ █ █
█ █ █
█ █ █ ██ █ ███ █ ████ █ ██ █ █ █ █
████████████████████████████████████████████████████████████
| | | | |
10^(-10) 10^(-8.6) 10^(-6.9) 10^(-5.1) 10^(-3.4)
============================================================
Refined mesh order distribution
============================================================
█
█
█ █
█ █ █
████████████████████████████████████████████████████████████
| | | | |
1.0 1.5 2.0 2.5 3.0
============================================================
Initial mesh order distribution
============================================================
█
█
█ █
█ █ █
████████████████████████████████████████████████████████████
| | | | |
1.0 1.5 2.0 2.5 3.0
============================================================
Error estimate distribution
============================================================
█
██ █ █ █ █ █
██ █ █ █ █ █
█ █ █ █ ██ ███ ███ ███ █ █ █ █ █
████████████████████████████████████████████████████████████
| | | | |
10^(-13) 10^(-11) 10^(-8.4) 10^(-6.2) 10^(-4)
============================================================
Refined mesh order distribution
============================================================
█
█
█ █
█ █ █
████████████████████████████████████████████████████████████
| | | | |
1.0 1.7 2.5 3.2 4.0
============================================================
Initial mesh order distribution
============================================================
█
█
█ █
█ █ █
████████████████████████████████████████████████████████████
| | | | |
1.0 1.7 2.5 3.2 4.0
============================================================
Error estimate distribution
============================================================
█
██ █ ███
██ █ ███
█ █ ███ ██ ██████ █ ██ █ █ █ █ █
████████████████████████████████████████████████████████████
| | | | |
10^(-14) 10^(-12) 10^(-9.4) 10^(-7.2) 10^(-5)
============================================================
Refined mesh order distribution
============================================================
█
█
█ █
█ █ █
████████████████████████████████████████████████████████████
| | | | |
1.0 1.9 2.9 3.9 4.9
============================================================
Initial mesh order distribution
============================================================
█
█
█ █
█ █ █
████████████████████████████████████████████████████████████
| | | | |
1.0 1.9 2.9 3.9 4.9
============================================================
Error estimate distribution
============================================================
█
█████
█ ██████
█ █ ██████ ██████ ██ █ █ █
████████████████████████████████████████████████████████████
| | | | |
10^(-14) 10^(-12) 10^(-10) 10^(-8) 10^(-5.7)
============================================================
Refined mesh order distribution
============================================================
█
█
█
█ █ █
████████████████████████████████████████████████████████████
| | | | |
1.0 2.2 3.4 4.7 5.9
============================================================
Initial mesh order distribution
============================================================
█
█
█
█ █ █
████████████████████████████████████████████████████████████
| | | | |
1.0 2.2 3.4 4.7 5.9
============================================================
Error estimate distribution
============================================================
██
███
█ ███
███ ██████
████████████████████████████████████████████████████████████
| | | | |
10^(-17) 10^(-14) 10^(-12) 10^(-9.3) 10^(-6.7)
============================================================
Refined mesh order distribution
============================================================
█
█
█
█ █ █
████████████████████████████████████████████████████████████
| | | | |
1.0 2.4 3.9 5.4 6.9
============================================================
Initial mesh order distribution
============================================================
█
█
█
█ █ █
████████████████████████████████████████████████████████████
| | | | |
1.0 2.4 3.9 5.4 6.9
============================================================
Error estimate distribution
============================================================
█
██
███
████████ █
████████████████████████████████████████████████████████████
| | | | |
10^(-18) 10^(-16) 10^(-13) 10^(-10) 10^(-7.7)
============================================================
Refined mesh order distribution
============================================================
█
█
█
█ █
████████████████████████████████████████████████████████████
| | | | |
1.0 2.6 4.4 6.1 7.9
============================================================
Initial mesh order distribution
============================================================
█
█
█
█ █
████████████████████████████████████████████████████████████
| | | | |
1.0 2.6 4.4 6.1 7.9
============================================================
Error estimate distribution
============================================================
█
██
████
█ █ ██████
████████████████████████████████████████████████████████████
| | | | |
10^(-19) 10^(-16) 10^(-14) 10^(-11) 10^(-8.6)
============================================================
Refined mesh order distribution
============================================================
█
█
█
█ █
████████████████████████████████████████████████████████████
| | | | |
1.0 2.9 4.9 6.9 8.9
============================================================
Initial mesh order distribution
============================================================
█
█
█
█ █
████████████████████████████████████████████████████████████
| | | | |
1.0 2.9 4.9 6.9 8.9
============================================================
Error estimate distribution
============================================================
█ ██
████
█████
██ ████████
████████████████████████████████████████████████████████████
| | | | |
10^(-22) 10^(-19) 10^(-16) 10^(-13) 10^(-9.8)
============================================================
Refined mesh order distribution
============================================================
█
█
█
█ █
████████████████████████████████████████████████████████████
| | | | |
1.0 3.1 5.3 7.6 9.8
============================================================
Initial mesh order distribution
============================================================
█
█
█
█ █
████████████████████████████████████████████████████████████
| | | | |
1.0 3.1 5.3 7.6 9.8
============================================================
Error estimate distribution
============================================================
█
███
█████
█ ██████
████████████████████████████████████████████████████████████
| | | | |
10^(-21) 10^(-19) 10^(-16) 10^(-13) 10^(-11)
============================================================
Refined mesh order distribution
============================================================
█
█
█
█
████████████████████████████████████████████████████████████
| | | | |
1.0 3.3 5.8 8.3 10.8
============================================================
More Permissive h-refinement#
By increasing the value of h-refinement error ratio, the refinement stragegy can be made more prone to h-refinement over p-refinement.
errors_local_2, local_mesh_2 = run_refinement_strategy(
BASE_H_RATIO * 10, BASE_ELEMENT_LIMIT, mesh_initial
)
errors_local_name_2 = err_name(BASE_H_RATIO * 10, BASE_ELEMENT_LIMIT)

Initial mesh order distribution
============================================================
█
█
█
█
████████████████████████████████████████████████████████████
| | | | |
0.5 0.7 1.0 1.2 1.5
============================================================
Error estimate distribution
============================================================
█
█ █ █
█ █ █
█ █ █ ██ ██ █ █ ███ █ ██ ████ ██
████████████████████████████████████████████████████████████
| | | | |
10^(-7.2) 10^(-6.3) 10^(-5.4) 10^(-4.5) 10^(-3.6)
============================================================
Refined mesh order distribution
============================================================
█
█ █
█ █
█ █
████████████████████████████████████████████████████████████
| | | | |
1.0 1.2 1.5 1.7 2.0
============================================================
Initial mesh order distribution
============================================================
█
█ █
█ █
█ █
████████████████████████████████████████████████████████████
| | | | |
1.0 1.2 1.5 1.7 2.0
============================================================
Error estimate distribution
============================================================
█
█ █ █
█ █ █
█ █ █ ██ █ ███ █ ████ █ ██ █ █ █ █
████████████████████████████████████████████████████████████
| | | | |
10^(-10) 10^(-8.6) 10^(-6.9) 10^(-5.1) 10^(-3.4)
============================================================
Refined mesh order distribution
============================================================
█
█
█
█ █ █
████████████████████████████████████████████████████████████
| | | | |
1.0 1.5 2.0 2.5 3.0
============================================================
Initial mesh order distribution
============================================================
█
█
█
█ █ █
████████████████████████████████████████████████████████████
| | | | |
1.0 1.5 2.0 2.5 3.0
============================================================
Error estimate distribution
============================================================
█
█ █
██ █ ██ █
█ █ █ █ ███████ ███ ███ █ █ █ █ █
████████████████████████████████████████████████████████████
| | | | |
10^(-13) 10^(-11) 10^(-8.4) 10^(-6.2) 10^(-4)
============================================================
Refined mesh order distribution
============================================================
█
█
█
█ █
████████████████████████████████████████████████████████████
| | | | |
1.0 1.7 2.5 3.2 4.0
============================================================
Initial mesh order distribution
============================================================
█
█
█
█ █
████████████████████████████████████████████████████████████
| | | | |
1.0 1.7 2.5 3.2 4.0
============================================================
Error estimate distribution
============================================================
██ █
█ █ █ █ ██ █ █ █ █ █
█ █ █ █ ██ █ █ █ █ █
█ █ █ ███ █ █ ██████████ ███ █ ██ ███ █ █
████████████████████████████████████████████████████████████
| | | | |
10^(-15) 10^(-13) 10^(-10) 10^(-7.7) 10^(-5.1)
============================================================
Refined mesh order distribution
============================================================
█
█
█ █
█ █
████████████████████████████████████████████████████████████
| | | | |
1.0 1.9 2.9 3.9 4.9
============================================================
Initial mesh order distribution
============================================================
█
█
█ █
█ █
████████████████████████████████████████████████████████████
| | | | |
1.0 1.9 2.9 3.9 4.9
============================================================
Error estimate distribution
============================================================
██
█ █ ██ █
██ █ ████ █ █
████ ██ █████████ ██ ███ █ █ █ █ █ █ █
████████████████████████████████████████████████████████████
| | | | |
10^(-14) 10^(-12) 10^(-9.8) 10^(-7.8) 10^(-5.7)
============================================================
Refined mesh order distribution
============================================================
█
█ █
█ █
█ █ █
████████████████████████████████████████████████████████████
| | | | |
1.0 2.2 3.4 4.7 5.9
============================================================
Initial mesh order distribution
============================================================
█
█ █
█ █
█ █ █
████████████████████████████████████████████████████████████
| | | | |
1.0 2.2 3.4 4.7 5.9
============================================================
Error estimate distribution
============================================================
█
█ █ █ ██
██ ███ █████ ██ █
█ █ █ ████████ ██████ █ ███ █ █ █ █ █ █
████████████████████████████████████████████████████████████
| | | | |
10^(-18) 10^(-15) 10^(-12) 10^(-9.5) 10^(-6.7)
============================================================
Refined mesh order distribution
============================================================
█
█
█
█ █
████████████████████████████████████████████████████████████
| | | | |
1.0 2.4 3.9 5.4 6.9
============================================================
Initial mesh order distribution
============================================================
█
█
█
█ █
████████████████████████████████████████████████████████████
| | | | |
1.0 2.4 3.9 5.4 6.9
============================================================
Error estimate distribution
============================================================
█
█ █
█ ██ ███ █ █
█ ███ ████████ ████ ██ ████ █ █ █ █
████████████████████████████████████████████████████████████
| | | | |
10^(-16) 10^(-14) 10^(-12) 10^(-9.9) 10^(-7.6)
============================================================
Refined mesh order distribution
============================================================
█
█
█ █
█ █
████████████████████████████████████████████████████████████
| | | | |
1.0 2.6 4.4 6.1 7.9
============================================================
Initial mesh order distribution
============================================================
█
█
█ █
█ █
████████████████████████████████████████████████████████████
| | | | |
1.0 2.6 4.4 6.1 7.9
============================================================
Error estimate distribution
============================================================
█
██
█ █ █████ █
█ █ ███ █████ ██ █ █
████████████████████████████████████████████████████████████
| | | | |
10^(-17) 10^(-15) 10^(-13) 10^(-11) 10^(-8.5)
============================================================
Refined mesh order distribution
============================================================
█
█
█ █
█ █
████████████████████████████████████████████████████████████
| | | | |
1.0 2.9 4.9 6.9 8.9
============================================================
Initial mesh order distribution
============================================================
█
█
█ █
█ █
████████████████████████████████████████████████████████████
| | | | |
1.0 2.9 4.9 6.9 8.9
============================================================
Error estimate distribution
============================================================
█
█ █ █ █
██ █ ████ ████ ██ ███ █
██ ██ ███████████████ █ ███ █ █ █ █ █
████████████████████████████████████████████████████████████
| | | | |
10^(-20) 10^(-18) 10^(-15) 10^(-12) 10^(-9.7)
============================================================
Refined mesh order distribution
============================================================
█
█
█ █
█ █
████████████████████████████████████████████████████████████
| | | | |
1.0 3.1 5.3 7.6 9.8
============================================================
Initial mesh order distribution
============================================================
█
█
█ █
█ █
████████████████████████████████████████████████████████████
| | | | |
1.0 3.1 5.3 7.6 9.8
============================================================
Error estimate distribution
============================================================
█
█
██ █ ██ █
█ ██████ ██████ █ █
████████████████████████████████████████████████████████████
| | | | |
10^(-20) 10^(-18) 10^(-15) 10^(-13) 10^(-11)
============================================================
Refined mesh order distribution
============================================================
█
█
█ █
█ █ █
████████████████████████████████████████████████████████████
| | | | |
1.0 3.3 5.8 8.3 10.8
============================================================
More Strict h-refinement#
Inversly, the refinement can be made more prone towards p-refinement only by lowering the allowed h-refinement error fraction.
errors_local_3, local_mesh_3 = run_refinement_strategy(
BASE_H_RATIO / 10, BASE_ELEMENT_LIMIT, mesh_initial
)
errors_local_name_3 = err_name(BASE_H_RATIO / 10, BASE_ELEMENT_LIMIT)

Initial mesh order distribution
============================================================
█
█
█
█
████████████████████████████████████████████████████████████
| | | | |
0.5 0.7 1.0 1.2 1.5
============================================================
Error estimate distribution
============================================================
█
█ █ █
█ █ █
█ █ █ ██ ██ █ █ ███ █ ██ ████ ██
████████████████████████████████████████████████████████████
| | | | |
10^(-7.2) 10^(-6.3) 10^(-5.4) 10^(-4.5) 10^(-3.6)
============================================================
Refined mesh order distribution
============================================================
█
█ █
█ █
█ █
████████████████████████████████████████████████████████████
| | | | |
1.0 1.2 1.5 1.7 2.0
============================================================
Initial mesh order distribution
============================================================
█
█ █
█ █
█ █
████████████████████████████████████████████████████████████
| | | | |
1.0 1.2 1.5 1.7 2.0
============================================================
Error estimate distribution
============================================================
█
█ █ █
█ █ █
█ █ █ ██ █ ███ █ ████ █ ██ █ █ █ █
████████████████████████████████████████████████████████████
| | | | |
10^(-10) 10^(-8.6) 10^(-6.9) 10^(-5.1) 10^(-3.4)
============================================================
Refined mesh order distribution
============================================================
█
█
█ █
█ █ █
████████████████████████████████████████████████████████████
| | | | |
1.0 1.5 2.0 2.5 3.0
============================================================
Initial mesh order distribution
============================================================
█
█
█ █
█ █ █
████████████████████████████████████████████████████████████
| | | | |
1.0 1.5 2.0 2.5 3.0
============================================================
Error estimate distribution
============================================================
█
█ █ █ █ █
█ █ █ █ █
█ █ █ █ ██ ███ █ █ █ █ ██ █ █ █ █
████████████████████████████████████████████████████████████
| | | | |
10^(-13) 10^(-11) 10^(-8.4) 10^(-6.2) 10^(-4)
============================================================
Refined mesh order distribution
============================================================
█
█
█ █
█ █ █ █
████████████████████████████████████████████████████████████
| | | | |
1.0 1.7 2.5 3.2 4.0
============================================================
Initial mesh order distribution
============================================================
█
█
█ █
█ █ █ █
████████████████████████████████████████████████████████████
| | | | |
1.0 1.7 2.5 3.2 4.0
============================================================
Error estimate distribution
============================================================
█
██ █ █
██ █ █
█ █ ███ ██ █████ █ ██ █ █ █ █ █
████████████████████████████████████████████████████████████
| | | | |
10^(-14) 10^(-12) 10^(-9.4) 10^(-7.2) 10^(-5)
============================================================
Refined mesh order distribution
============================================================
█
█
█ █ █
█ █ █ █
████████████████████████████████████████████████████████████
| | | | |
1.0 1.9 2.9 3.9 4.9
============================================================
Initial mesh order distribution
============================================================
█
█
█ █ █
█ █ █ █
████████████████████████████████████████████████████████████
| | | | |
1.0 1.9 2.9 3.9 4.9
============================================================
Error estimate distribution
============================================================
█
█ █ █
██ █ █ █
█ █ ███ █████ ██ █ █ ██ █ █ █
████████████████████████████████████████████████████████████
| | | | |
10^(-14) 10^(-12) 10^(-10) 10^(-7.9) 10^(-5.7)
============================================================
Refined mesh order distribution
============================================================
█ █
█ █
█ █ █
█ █ █ █
████████████████████████████████████████████████████████████
| | | | |
1.0 2.2 3.4 4.7 5.9
============================================================
Initial mesh order distribution
============================================================
█ █
█ █
█ █ █
█ █ █ █
████████████████████████████████████████████████████████████
| | | | |
1.0 2.2 3.4 4.7 5.9
============================================================
Error estimate distribution
============================================================
█
█
█ ██ ███ █
██ █████████████ █ █ █ █ █ █
████████████████████████████████████████████████████████████
| | | | |
10^(-17) 10^(-14) 10^(-12) 10^(-9.3) 10^(-6.7)
============================================================
Refined mesh order distribution
============================================================
█
█ █
█ █ █
█ █ █ █ █
████████████████████████████████████████████████████████████
| | | | |
1.0 2.4 3.9 5.4 6.9
============================================================
Initial mesh order distribution
============================================================
█
█ █
█ █ █
█ █ █ █ █
████████████████████████████████████████████████████████████
| | | | |
1.0 2.4 3.9 5.4 6.9
============================================================
Error estimate distribution
============================================================
█
███
█ ███
█ █████████ █ █ █ █ █ █ █
████████████████████████████████████████████████████████████
| | | | |
10^(-18) 10^(-16) 10^(-13) 10^(-10) 10^(-7.7)
============================================================
Refined mesh order distribution
============================================================
█
█ █
█ █ █
█ █ █ █ █
████████████████████████████████████████████████████████████
| | | | |
1.0 2.6 4.4 6.1 7.9
============================================================
Initial mesh order distribution
============================================================
█
█ █
█ █ █
█ █ █ █ █
████████████████████████████████████████████████████████████
| | | | |
1.0 2.6 4.4 6.1 7.9
============================================================
Error estimate distribution
============================================================
█
█
█ █ █
█ ███████████ █ █ █ █ █ █
████████████████████████████████████████████████████████████
| | | | |
10^(-19) 10^(-16) 10^(-14) 10^(-11) 10^(-8.6)
============================================================
Refined mesh order distribution
============================================================
█
█ █
█ █ █
█ █ █ █
████████████████████████████████████████████████████████████
| | | | |
1.0 2.9 4.9 6.9 8.9
============================================================
Initial mesh order distribution
============================================================
█
█ █
█ █ █
█ █ █ █
████████████████████████████████████████████████████████████
| | | | |
1.0 2.9 4.9 6.9 8.9
============================================================
Error estimate distribution
============================================================
█
███
███ ███
█ ███ ███
████████████████████████████████████████████████████████████
| | | | |
10^(-22) 10^(-19) 10^(-16) 10^(-13) 10^(-9.8)
============================================================
Refined mesh order distribution
============================================================
█
█
█ █
█ █ █ █
████████████████████████████████████████████████████████████
| | | | |
1.0 3.1 5.3 7.6 9.8
============================================================
Initial mesh order distribution
============================================================
█
█
█ █
█ █ █ █
████████████████████████████████████████████████████████████
| | | | |
1.0 3.1 5.3 7.6 9.8
============================================================
Error estimate distribution
============================================================
█ █
██ █
█ ████
█ █ █ ████
████████████████████████████████████████████████████████████
| | | | |
10^(-22) 10^(-19) 10^(-16) 10^(-13) 10^(-11)
============================================================
Refined mesh order distribution
============================================================
█
█
█
█ █ █
████████████████████████████████████████████████████████████
| | | | |
1.0 3.3 5.8 8.3 10.8
============================================================
More Confident Refinement#
By increasing the number of elements that can be changed during each refienemnt round, the effectiveness may drop, since error will be affected by each refinement step.
errors_local_4, local_mesh_4 = run_refinement_strategy(
BASE_H_RATIO, 2 * BASE_ELEMENT_LIMIT, mesh_initial
)
errors_local_name_4 = err_name(BASE_H_RATIO, 2 * BASE_ELEMENT_LIMIT)

Initial mesh order distribution
============================================================
█
█
█
█
████████████████████████████████████████████████████████████
| | | | |
0.5 0.7 1.0 1.2 1.5
============================================================
Error estimate distribution
============================================================
█
█ █ █
█ █ █
█ █ █ ██ ██ █ █ ███ █ ██ ████ ██
████████████████████████████████████████████████████████████
| | | | |
10^(-7.2) 10^(-6.3) 10^(-5.4) 10^(-4.5) 10^(-3.6)
============================================================
Refined mesh order distribution
============================================================
█
█
█
█ █
████████████████████████████████████████████████████████████
| | | | |
1.0 1.2 1.5 1.7 2.0
============================================================
Initial mesh order distribution
============================================================
█
█
█
█ █
████████████████████████████████████████████████████████████
| | | | |
1.0 1.2 1.5 1.7 2.0
============================================================
Error estimate distribution
============================================================
█
█ █
█ █
█ █ █ ███ █ ███ █ ██ ██ █ ██ █ █ █ █
████████████████████████████████████████████████████████████
| | | | |
10^(-10) 10^(-8.7) 10^(-6.9) 10^(-5.2) 10^(-3.4)
============================================================
Refined mesh order distribution
============================================================
█
█ █
█ █
█ █ █
████████████████████████████████████████████████████████████
| | | | |
1.0 1.5 2.0 2.5 3.0
============================================================
Initial mesh order distribution
============================================================
█
█ █
█ █
█ █ █
████████████████████████████████████████████████████████████
| | | | |
1.0 1.5 2.0 2.5 3.0
============================================================
Error estimate distribution
============================================================
█ ███ █
██ ████ █ █
██ ████ █ █
█ ███████████ ███ ████ █ █ █ █ █
████████████████████████████████████████████████████████████
| | | | |
10^(-13) 10^(-11) 10^(-8.4) 10^(-6.2) 10^(-4)
============================================================
Refined mesh order distribution
============================================================
█ █
█ █ █
█ █ █
█ █ █ █
████████████████████████████████████████████████████████████
| | | | |
1.0 1.7 2.5 3.2 4.0
============================================================
Initial mesh order distribution
============================================================
█ █
█ █ █
█ █ █
█ █ █ █
████████████████████████████████████████████████████████████
| | | | |
1.0 1.7 2.5 3.2 4.0
============================================================
Error estimate distribution
============================================================
█
█ ██ █ █
██ ███████
█ ██ ██████████ ██████ █ ██ █ █ █
████████████████████████████████████████████████████████████
| | | | |
10^(-14) 10^(-12) 10^(-9.5) 10^(-7.2) 10^(-5)
============================================================
Refined mesh order distribution
============================================================
█
█
█ █
█ █
████████████████████████████████████████████████████████████
| | | | |
1.0 1.9 2.9 3.9 4.9
============================================================
Initial mesh order distribution
============================================================
█
█
█ █
█ █
████████████████████████████████████████████████████████████
| | | | |
1.0 1.9 2.9 3.9 4.9
============================================================
Error estimate distribution
============================================================
█
██ █ █
█ █████ █
███████████ █
████████████████████████████████████████████████████████████
| | | | |
10^(-15) 10^(-12) 10^(-10) 10^(-8) 10^(-5.7)
============================================================
Refined mesh order distribution
============================================================
█
█
█
█ █
████████████████████████████████████████████████████████████
| | | | |
1.0 2.2 3.4 4.7 5.9
============================================================
Initial mesh order distribution
============================================================
█
█
█
█ █
████████████████████████████████████████████████████████████
| | | | |
1.0 2.2 3.4 4.7 5.9
============================================================
Error estimate distribution
============================================================
█
███ █
█████████
█████████
████████████████████████████████████████████████████████████
| | | | |
10^(-17) 10^(-14) 10^(-12) 10^(-9.3) 10^(-6.7)
============================================================
Refined mesh order distribution
============================================================
█
█
█
█ █
████████████████████████████████████████████████████████████
| | | | |
1.0 2.4 3.9 5.4 6.9
============================================================
Initial mesh order distribution
============================================================
█
█
█
█ █
████████████████████████████████████████████████████████████
| | | | |
1.0 2.4 3.9 5.4 6.9
============================================================
Error estimate distribution
============================================================
█
█
████
████████
████████████████████████████████████████████████████████████
| | | | |
10^(-19) 10^(-16) 10^(-13) 10^(-10) 10^(-7.7)
============================================================
Refined mesh order distribution
============================================================
█
█
█
█ █
████████████████████████████████████████████████████████████
| | | | |
1.0 2.6 4.4 6.1 7.9
============================================================
Initial mesh order distribution
============================================================
█
█
█
█ █
████████████████████████████████████████████████████████████
| | | | |
1.0 2.6 4.4 6.1 7.9
============================================================
Error estimate distribution
============================================================
██
██
████
█ ██████
████████████████████████████████████████████████████████████
| | | | |
10^(-19) 10^(-16) 10^(-14) 10^(-11) 10^(-8.6)
============================================================
Refined mesh order distribution
============================================================
█
█
█
█ █
████████████████████████████████████████████████████████████
| | | | |
1.0 2.9 4.9 6.9 8.9
============================================================
Initial mesh order distribution
============================================================
█
█
█
█ █
████████████████████████████████████████████████████████████
| | | | |
1.0 2.9 4.9 6.9 8.9
============================================================
Error estimate distribution
============================================================
██
███
█████
██████
████████████████████████████████████████████████████████████
| | | | |
10^(-22) 10^(-19) 10^(-16) 10^(-13) 10^(-9.8)
============================================================
Refined mesh order distribution
============================================================
█
█
█
█ █
████████████████████████████████████████████████████████████
| | | | |
1.0 3.1 5.3 7.6 9.8
============================================================
Initial mesh order distribution
============================================================
█
█
█
█ █
████████████████████████████████████████████████████████████
| | | | |
1.0 3.1 5.3 7.6 9.8
============================================================
Error estimate distribution
============================================================
█
██
███
████
████████████████████████████████████████████████████████████
| | | | |
10^(-22) 10^(-19) 10^(-16) 10^(-13) 10^(-11)
============================================================
Refined mesh order distribution
============================================================
█
█
█
█ █
████████████████████████████████████████████████████████████
| | | | |
1.0 3.3 5.8 8.3 10.8
============================================================
Pure Local p-refinement#
By setting h-refinement error ratio to zero and with an error estimation function, which returns strictly positive values for estimation of h-refinement error increase, it can be guaranteed that h-refinement will never occur. This can be a good comparison to how does hp-refinement work compared to purely p-refinement.
errors_local_5, local_mesh_5 = run_refinement_strategy(
0.0, BASE_ELEMENT_LIMIT, mesh_initial
)
errors_local_name_5 = err_name(0.0, BASE_ELEMENT_LIMIT)

Initial mesh order distribution
============================================================
█
█
█
█
████████████████████████████████████████████████████████████
| | | | |
0.5 0.7 1.0 1.2 1.5
============================================================
Error estimate distribution
============================================================
█
█ █ █
█ █ █
█ █ █ ██ ██ █ █ ███ █ ██ ████ ██
████████████████████████████████████████████████████████████
| | | | |
10^(-7.2) 10^(-6.3) 10^(-5.4) 10^(-4.5) 10^(-3.6)
============================================================
Refined mesh order distribution
============================================================
█
█ █
█ █
█ █
████████████████████████████████████████████████████████████
| | | | |
1.0 1.2 1.5 1.7 2.0
============================================================
Initial mesh order distribution
============================================================
█
█ █
█ █
█ █
████████████████████████████████████████████████████████████
| | | | |
1.0 1.2 1.5 1.7 2.0
============================================================
Error estimate distribution
============================================================
█
█ █ █
█ █ █
█ █ █ ██ █ ███ █ ████ █ ██ █ █ █ █
████████████████████████████████████████████████████████████
| | | | |
10^(-10) 10^(-8.6) 10^(-6.9) 10^(-5.1) 10^(-3.4)
============================================================
Refined mesh order distribution
============================================================
█
█
█ █
█ █ █
████████████████████████████████████████████████████████████
| | | | |
1.0 1.5 2.0 2.5 3.0
============================================================
Initial mesh order distribution
============================================================
█
█
█ █
█ █ █
████████████████████████████████████████████████████████████
| | | | |
1.0 1.5 2.0 2.5 3.0
============================================================
Error estimate distribution
============================================================
█
█ █ █ █ █
█ █ █ █ █
█ █ █ █ ██ ███ █ █ █ █ ██ █ █ █ █
████████████████████████████████████████████████████████████
| | | | |
10^(-13) 10^(-11) 10^(-8.4) 10^(-6.2) 10^(-4)
============================================================
Refined mesh order distribution
============================================================
█
█
█ █
█ █ █ █
████████████████████████████████████████████████████████████
| | | | |
1.0 1.7 2.5 3.2 4.0
============================================================
Initial mesh order distribution
============================================================
█
█
█ █
█ █ █ █
████████████████████████████████████████████████████████████
| | | | |
1.0 1.7 2.5 3.2 4.0
============================================================
Error estimate distribution
============================================================
█
██ █ █
██ █ █
█ █ ███ ██ █████ █ ██ █ █ █ █ █
████████████████████████████████████████████████████████████
| | | | |
10^(-14) 10^(-12) 10^(-9.4) 10^(-7.2) 10^(-5)
============================================================
Refined mesh order distribution
============================================================
█
█
█ █
█ █ █ █
████████████████████████████████████████████████████████████
| | | | |
1.0 1.9 2.9 3.9 4.9
============================================================
Initial mesh order distribution
============================================================
█
█
█ █
█ █ █ █
████████████████████████████████████████████████████████████
| | | | |
1.0 1.9 2.9 3.9 4.9
============================================================
Error estimate distribution
============================================================
█
██ █ █
██ █ █
█ █ ███ █████ ██ █ ██ ██ █ █ █
████████████████████████████████████████████████████████████
| | | | |
10^(-14) 10^(-12) 10^(-10) 10^(-7.9) 10^(-5.7)
============================================================
Refined mesh order distribution
============================================================
█
█
█ █
█ █ █ █
████████████████████████████████████████████████████████████
| | | | |
1.0 2.2 3.4 4.7 5.9
============================================================
Initial mesh order distribution
============================================================
█
█
█ █
█ █ █ █
████████████████████████████████████████████████████████████
| | | | |
1.0 2.2 3.4 4.7 5.9
============================================================
Error estimate distribution
============================================================
█ █ █
█ █ ██ █
█ █ ██ █
██ ██████ ██ █ █ █ █ █ █ █
████████████████████████████████████████████████████████████
| | | | |
10^(-17) 10^(-14) 10^(-12) 10^(-9.3) 10^(-6.7)
============================================================
Refined mesh order distribution
============================================================
█
█
█ █
█ █ █ █
████████████████████████████████████████████████████████████
| | | | |
1.0 2.4 3.9 5.4 6.9
============================================================
Initial mesh order distribution
============================================================
█
█
█ █
█ █ █ █
████████████████████████████████████████████████████████████
| | | | |
1.0 2.4 3.9 5.4 6.9
============================================================
Error estimate distribution
============================================================
█ ██ █ ██ █
█ ██ █ ██ █
█ ██████ █████ █ █ █ █ █ █
█ ██████ █████ █ █ █ █ █ █
████████████████████████████████████████████████████████████
| | | | |
10^(-18) 10^(-16) 10^(-13) 10^(-10) 10^(-7.7)
============================================================
Refined mesh order distribution
============================================================
█
█ █
█ █
█ █ █ █
████████████████████████████████████████████████████████████
| | | | |
1.0 2.6 4.4 6.1 7.9
============================================================
Initial mesh order distribution
============================================================
█
█ █
█ █
█ █ █ █
████████████████████████████████████████████████████████████
| | | | |
1.0 2.6 4.4 6.1 7.9
============================================================
Error estimate distribution
============================================================
█
█ █
█ █ █ █ █
█ ██████ ██ ███ █ █ █ █ █
████████████████████████████████████████████████████████████
| | | | |
10^(-19) 10^(-16) 10^(-14) 10^(-11) 10^(-8.6)
============================================================
Refined mesh order distribution
============================================================
█
█ █
█ █
█ █ █ █
████████████████████████████████████████████████████████████
| | | | |
1.0 2.9 4.9 6.9 8.9
============================================================
Initial mesh order distribution
============================================================
█
█ █
█ █
█ █ █ █
████████████████████████████████████████████████████████████
| | | | |
1.0 2.9 4.9 6.9 8.9
============================================================
Error estimate distribution
============================================================
██ █
███ ██ █
███ ██ █
██ █ ███ ███ ██ █ █ █ █ █
████████████████████████████████████████████████████████████
| | | | |
10^(-22) 10^(-19) 10^(-16) 10^(-13) 10^(-9.8)
============================================================
Refined mesh order distribution
============================================================
█
█ █
█ █
█ █ █ █
████████████████████████████████████████████████████████████
| | | | |
1.0 3.1 5.3 7.6 9.8
============================================================
Initial mesh order distribution
============================================================
█
█ █
█ █
█ █ █ █
████████████████████████████████████████████████████████████
| | | | |
1.0 3.1 5.3 7.6 9.8
============================================================
Error estimate distribution
============================================================
█
█ █ █
█ █ █ █ █
█ ███ ██ ██ ███ █ █ █ █ █
████████████████████████████████████████████████████████████
| | | | |
10^(-22) 10^(-19) 10^(-16) 10^(-13) 10^(-11)
============================================================
Refined mesh order distribution
============================================================
█
█ █
█ █
█ █ █ █
████████████████████████████████████████████████████████████
| | | | |
1.0 3.3 5.8 8.3 10.8
============================================================
Plotting Results#
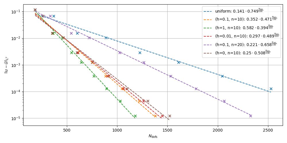
def plot_error_rates(*args: tuple[str, npt.ArrayLike]) -> None:
"""Plot a comparison of convergence rates with their names."""
fig, ax = plt.subplots(figsize=(10, 5))
for label, data in args:
el = np.array(data)
err = el[:, 1]
ns = el[:, 0] / 100
kl1, kl0 = np.polyfit(ns, np.log(err), 1)
kl1, kl0 = np.exp(kl1), np.exp(kl0)
ax.scatter(el[:, 0], err, marker="x")
ax.plot(
el[:, 0],
kl0 * kl1 ** (ns),
label=label
+ f": ${kl0:.3g} \\cdot {{{kl1:.3g}}}^{{\\frac{{N_\\mathrm{{dofs}}}}"
f"{{100}}}}$",
linestyle="dashed",
)
ax.grid()
ax.legend()
ax.set(
xlabel="$N_\\mathrm{dofs}$",
ylabel="$\\left|\\left| u - \\bar{u} \\right|\\right|_{L^2}$",
yscale="log",
)
fig.tight_layout()
plt.show()
plot_error_rates(
("uniform", errors_uniform),
(errors_local_name_1, errors_local_1),
(errors_local_name_2, errors_local_2),
(errors_local_name_3, errors_local_3),
(errors_local_name_4, errors_local_4),
(errors_local_name_5, errors_local_5),
)
plot_mesh_comparisons(
("Baseline", mesh_initial),
(errors_local_name_1, local_mesh_1),
(errors_local_name_2, local_mesh_2),
(errors_local_name_3, local_mesh_3),
(errors_local_name_4, local_mesh_4),
(errors_local_name_5, local_mesh_5),
)
Total running time of the script: (0 minutes 52.351 seconds)

